超塑成形是一種低成本、高效益、近無余量的成形工藝,具有有效降低結構重量、提高結構的完整性和承載效率的優點,在航空航天領域得到廣泛應用[1–2]。
TA32合金是在TA12合金基礎上進行成分改進而得到的一種新型近α型鈦合金,名義成分為Ti–5.5A1–3.5Sn–3.0Zr–0.7Mo–0.3Si–0.4Nb–0.4Ta[3]。該合金在550℃具有良好的綜合性能,在低于550℃的環境可長時間使用,短時使用溫度可達600℃,在超音速飛行器和航空發動機中具有廣泛的應用前景。目前國內已針對TA32合金板材開展了熱變形行為的研究[4–7],但超塑成形相關的研究較少[8–9]。

在本研究中,通過單向超塑拉伸試驗研究變形工藝參數(應變速率、變形溫度)對TA32合金超塑性的影響規律,獲得最大超塑延伸率的工藝參數。通過錐形件的超塑脹形,研究平面應力變形條件下TA32合金的變形特征和微觀組織演變規律,為結構件的工藝設計提供參考。
1、試驗材料及方法
1.1試驗材料
試驗所用材料為寶鈦集團提供的1.5mm厚退火態TA32鈦合金,板材的原始顯微組織如圖1所示,由白色等軸α和黑色β相組成,β相呈等軸狀或長條狀,平均晶粒尺寸小于5μm。
1.2試驗方法
(1)單向超塑拉伸試驗。
利用線切割加工出如圖2所示的拉伸試樣,試樣表面經除油處理和砂紙研磨,保證表面平整、無裂紋。

試樣標距表面均勻涂抹抗氧化涂料。超塑拉伸試驗在SANS–CMT4104型微機控制電子萬能試驗機上進行,試樣加熱采用電阻爐,工作區的溫度誤差≤±5℃。超塑拉伸時,拉伸試樣加熱到溫后保溫5min,以保證試樣溫度分布均勻,然后進行恒應變速率單向超塑拉伸,試驗過程中通過橫梁位移來計算試樣變形。選取的超塑拉伸溫度為920℃、940℃、960℃、980℃,應變速率為5.0×10–5s–1、1.0×10–4s–1、1.0×10–3s–1。
(2)錐形件超塑脹形試驗。
板材下料尺寸為180mm×180mm,板料上下表面均勻噴涂止焊劑。錐形件超塑脹形試驗在專用的脹形模具中進行,如圖3所示。試驗時,先將板材放置在上下模中間,并加熱模具,當溫度達到200℃時,模具中加入0.02MPa保護氣,當模具溫度達到目標溫度,上模通入氬氣使板料開始脹形,脹形過程中采用勻速連續加壓,加壓速率為0.02MPa/min,直至零件吹破為止。選取成形溫度為920℃、940℃、960℃、980℃。取出零件后,從錐形件不同位置取樣,采用OLYMPUSBX41M金相顯微鏡對顯微組織進行觀察分析。

2、結果及討論
2.1應力應變曲線
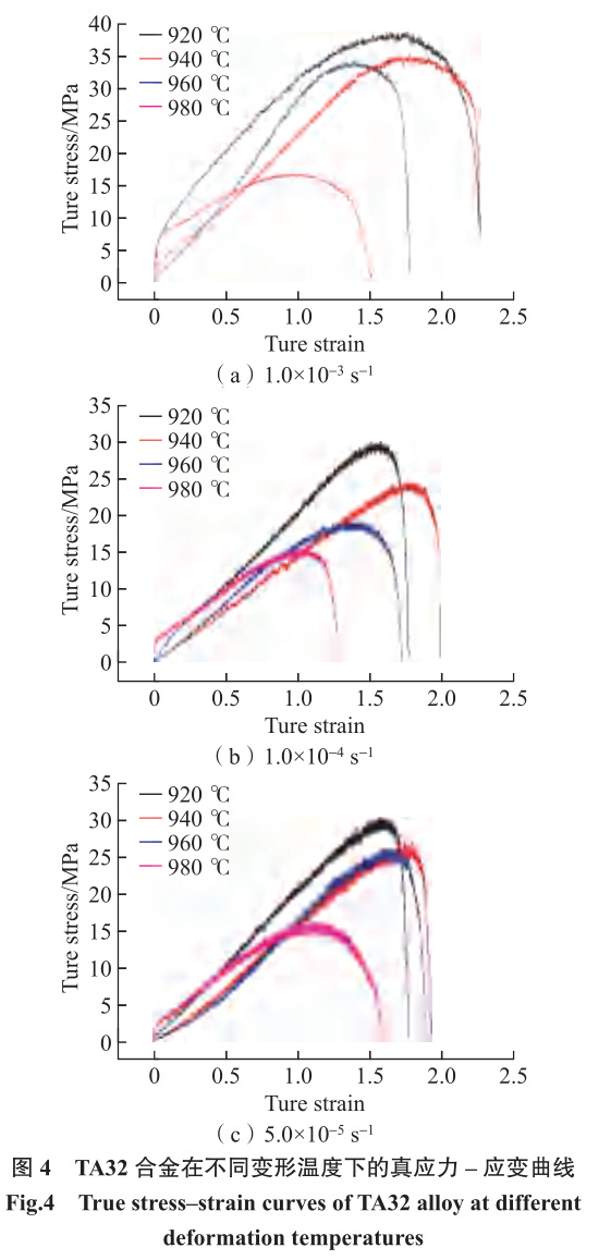
圖4為相同應變速率不同變形溫度的拉伸真應力–應變曲線,可以看出曲線呈現出明顯的加工硬化變形特征,在所有變形條件范圍內應力均隨著應變的增加而增加,當變形大于峰值應變后,應力迅速減小,發生斷裂。

原因是恒應變速率拉伸過程中隨著變形量的增加,橫梁的移動速度增加,材料發生動態再結晶軟化的速度小于加工硬化的速度。然而,采用恒速度超塑拉伸的曲線特征則與恒應變速率的相反,峰值應變通常較小,變形繼續增加時則發生軟化,即應力隨著應變的增加而減小,應變速率逐漸減小。由此可以推斷,動態再結晶的軟化作用取決于變形歷史。
圖5為應變速率對真應力–應變曲線的影響,可見,除960℃之外,其他3個溫度變形時,應變速率為1×10–4s–1和5×10–5s–1的應力–應變曲線幾乎重合,表明低應變速率條件下應變速率對流變應力的影響較小。

2.2超塑延伸率
圖6為不同參數條件下的超塑延伸率,由圖6(a)可知,在同一變形溫度下,超塑性分為兩種類型,變形溫度為920℃和940℃時,超塑延伸率均隨應變速率的增加而增加,在應變速率為1×10–3s–1時最高,分別為864%和862%;而變形溫度為960℃和980℃時,超塑延伸率隨應變速率的增加先降低后緩慢增加,在應變速率為5×10–5s–1時最高,分別為554%和387%。由圖6(b)可知,在同一應變速率下,超塑延伸率隨著溫度的升高先增加后降低,變形溫度為940℃時最高,變形溫度為980℃時,超塑延伸率最低,均小于400%。因此,采用單向超塑拉伸時,溫度920~940℃和高應變速率1×10–3s–1時為最佳變形條件,變形溫度不宜超過980℃。

2.3錐形件超塑脹形
圖7為錐形件超塑脹形后的結果,可知錐形件超塑脹形后外觀質量良好,失效位置均位于變形量最大的錐頂。

對不同溫度條件下錐形件的脹破壓力和高度進行比較(圖8),由圖8(a)可見,隨著變形溫度的增加,錐形件脹破壓力逐漸減小,溫度為960℃和980℃時基本相同,均為0.6MPa,溫度為920℃和940℃分別為1.1MPa和1.0MPa。然而,不同溫度下的錐形件的高度差別較大,在940℃和960℃時,錐形件的高度較高,分別為90mm和92mm,該結果對結構件的工藝設計具有很重要的參考價值。由圖8(c)可見,4個溫度條件下試件貼模后的壁厚變化呈線性減薄,接近錐頂位置未貼膜,壁厚減薄呈拋物線變化。

圖9為錐形件在940℃和980℃成形后不同位置的微觀組織,其中A1~A4變形量逐漸增大。可見,同一變形溫度下經過不同變形量變形后的微觀組織變化并不顯著,均為細小等軸晶粒,且隨著變形溫度的升高,晶粒逐漸粗化,940℃和980℃成形后的平均晶粒尺寸分別約為9μm和11μm。

3、結論
(1)在920~960℃、應變速率1×10–3~5×10–5s–1條件下,TA32合金板材具有良好的超塑性,采用單向超塑拉伸時,溫度920~940℃和高應變速率1×10–3s–1時為
最佳變形條件。
(2)隨著變形溫度的增加,錐形件脹破壓力逐漸減小,在960℃和980℃時最小,為0.6MPa;在940℃和960℃時,錐形件的高度較高,分別為90mm和92mm;經過不同變形量的變形后的微觀組織變化并不顯著,該結果為結構件的工藝設計提供參考。
參 考 文 獻
[1] 李志強 , 郭和平 . 超塑成形 / 擴散連接技術的應用進展和發展趨勢 [J]. 航空制造技術 , 2010, 53(8): 32–35.
LI Zhiqiang, GUO Heping. Application progress and developmenttendency of superplastic forming/diffusion bonding technology[J].Aeronautical Manufacturing Technology, 2010, 53(8): 32–35.
[2] HEFTI L D. Innovations in the superplastic forming anddiffusion bonded process[J]. Journal of Materials Engineering andPerformance, 2008, 17(2): 178–182.
[3] 王清江 , 劉建榮 , 楊銳 . 高溫鈦合金的現狀與前景 [J]. 航空材料學報 , 2014, 34(4): 1–26.
WANG Qingjiang, LIU Jianrong, YANG Rui. High temperaturetitanium alloys: Status and perspective[J]. Journal of AeronauticalMaterials, 2014, 34(4): 1–26.
[4] FAN R L, WU Y, CHEN M H, et al. Relationship amongmicrostructure, mechanical properties and texture of TA32 titanium alloysheets during hot tensile deformation[J]. Transactions of NonferrousMetals Society of China, 2020, 30(4): 928–943.
[5] 吳榮華 , 陳明和 , 謝蘭生 , 等 . TA32 鈦合金高溫應力松弛行為及其對應的本構方程 [J]. 稀有金屬材料與工程 , 2019, 48(10):3142–3148.
WU Ronghua, CHEN Minghe, XIE Lansheng, et al. Stressrelaxation behavior and corresponding constitutive relation of TA32titanium alloy at high temperature[J]. Rare Metal Materials andEngineering, 2019, 48(10): 3142–3148.
[6] 陳燦 , 陳明和 , 謝蘭生 , 等 . TA32 新型鈦合金高溫流變行為及本構模型研究 [J]. 稀有金屬材料與工程 , 2019, 48(3): 827–834.
CHEN Can, CHEN Minghe, XIE Lansheng, et al. Flow behaviorof TA32 titanium alloy at high temperature and its constitutive model[J].Rare Metal Materials and Engineering, 2019, 48(3): 827–834.
[7] 龔宗輝 , 謝蘭生 , 陳明和 , 等 . 新型 TA32 鈦合金板的高溫拉伸變形行為 [J]. 機械工程材料 , 2019, 43(1): 69–74.
GONG Zonghui, XIE Lansheng, CHEN Minghe, et al. Hightemperature tensile deformation behavior of new titanium alloy sheetTA32[J]. Materials for Mechanical Engineering, 2019, 43(1): 69–74.
[8] 劉章光 , 李培杰 , 尹西岳 , 等 . 變形參數對 TA32 合金的超塑性變形行為及微觀組織演化的影響 [J]. 稀有金屬材料與工程 ,2018, 47(11): 3473–3481.
LIU Zhangguang, LI Peijie, YIN Xiyue, et al. Effects of deformationparameters on the superplastic behavior and microstructure evolutionof TA32 alloy[J]. Rare Metal Materials and Engineering, 2018, 47(11):3473–3481.
[9] 程超 , 陳志勇 , 劉建榮 , 等 . TA32 鈦合金板材的超塑性能研究 [J]. 鈦工業進展 , 2020, 37(2): 21–25.
CHENG Chao, CHEN Zhiyong, LIU Jianrong, et al. Research onsuperplastic behavior of TA32 titanium alloy plate[J]. Titanium IndustryProgress, 2020, 37(2): 21–25.
通訊作者:周麗娜,工程師,碩士,研究方向為金屬成形技術。
相關鏈接