高溫合金具有良好的高溫強度和抗氧化抗腐蝕性能、優異的抗疲勞和抗蠕變性能、以及甚佳的斷裂性能和組織穩定性,是現代國防建設和國民經濟發展不可替代的關鍵材料[1]。高溫合金的發展與航空發動機和各種工業燃氣輪機的發展密切相關,是航空發動機和工業燃氣輪機發展的重要保證,而航空發動機及工業燃氣輪機的發展是高溫合金發展的動力。先進高溫合金材料和工藝的研制屬高技術領域。高溫合金的發展水平是一個國家工業水平高低的標志之一,也是一個國家國防力量強弱的標志之一。世界各先進國家都非常重視高溫合金的研究、生產和應用,并投入了大量的人力和物力。

我國從1956年開始研制和生產高溫合金。50多年來,我國高溫合金從無到有,從仿制到創新,已先后研制和生產了近200個牌號,形成了具有中國特色的完整的高溫合金體系,保證了我國航空航天發動機及燃氣輪機所需高溫合金材料完全立足于國內。
中國科學院金屬研究所高溫合金和金屬間化合物研究組從1962年開始研究高溫合金,至今已有50年歷史,先后研制成功或正在研究的有鐵基變形高溫合金GH2135、GH2035A、GH2984、GH2328、GH2901、GH2761、GH2107;鎳基變形高溫合金GH4413;無縫管材合金GH3044大尺寸渦輪盤合金GH4698和GH4742;鎳基鑄造合金K4169、K435、K446、K452、K447、K445;鈷基高溫合金K640S;BC合金I(444;定向凝固高溫合金DZ417G、DZ483、DZ444G;單晶高溫合金DD444、DD417G、DD483;低膨脹高溫合金GH2903等20多個牌號,其中約有一半是與兄弟組或其它單位共同完成的。下面重點介紹幾種我國獨創和獨具特色的高溫合金。
1、渦輪盤用鐵基高溫合金GH2135
GH2135合金是中國科學院金屬研究所于1958年在師昌緒先生指導下研制的鐵基變形合金,用以代替當時大量使用的鎳基合金GH4033。初期由于中心縮孔等冶金缺陷,在撫順鋼廠鍛造時不能成材,而且由于追求持久強度,選擇的固溶處理溫度高達1220℃,處理后的試棒表面由于氧化皮太厚而暫停研究。在終止研究幾年后,1962年本研究組重新開始研制,從合金的成分范圍、最佳成分控制、熱處理制度、組織結構到全面力學性能測試等,都進行了較為深入的研究。
GH2135合金的綜合性能達到或超過了GH4033合金。1964年開始到撫順鋼廠進行工業試生產,并與撫鋼合作開展工程化研究,取得了大量數據。在國內外公開發表論文數十篇,并出版GH2135鐵基高溫合金匯編一本[2】。自1967年GH2135合金正式列入“冶標”開始轉入批量生產,至1974年,撫鋼、上鋼五廠、大冶
鋼廠,齊齊哈爾鋼廠等冶金廠生產量達1000多t。
GH2135合金主要用作渦輪盤材料,也曾經用來制作渦輪葉片和燃氣輪機的火焰筒等不同結構件。
1.1合金的化學成分特點
GH2135合金的化學成分,與GH4033合金相比,最大特點是節省大量的鎳和少量的鉻。從表1可以看出,GH2135可節省41%的鎳和5.5%的鉻。這在當時中國缺乏鎳和鉻資源的情況下,特別是西方資本主義國家對我國進行經濟封鎖的形勢下,不僅具有十分重要的經濟意義,而且有著不可估量的政治意義。

與GH4033合金相比,GH2135合金還利用了4%左右的難熔金屬元素w+Mo進行固溶強化,而GH4033則沒有采用難熔金屬固溶強化。同時,GH2135
合金加入了約5%的Al+Ti進行沉淀強化,而GH4033合金僅加入了3.4%左右的Al+Ti形成),強化,前者γ'相的含量為12%~16%[3],而后者γ'相的含量則只有7.3%~9.1%[4]。
1.2合金的顯微組織特點
GH2135合金金相組織的最大特點是沿晶分布的鏈狀碳化物不是M23C6,而是二次TiC。通常認為含有2%W和2%Mo的鐵基或鎳基高溫合金,應該有M23c6相沿晶界析出。但電解萃取相的x射線分析沒有發現M:C6,甚至將萃取相進行相分離,只保留碳化物和硼化物相,x射線結構分析仍然只發現TiC。
GH2135合金低溫沿晶斷口的萃取復型證明,晶界上的顆粒相主要是830℃第一次時效處理時析出的二次TiC,有時也發現有少量顆粒狀M3B2相在晶界存在。
1.3合金的力學性能特點
GH2135合金的綜合力學性能已達到GH4033合金水平。但與GH4033合金比較,GH2135合金有如下兩個重要的特點。
1.3.1良好的低周疲勞性能
在同樣的試驗條件下,GH2135合金的周期持久性能和有疲勞載荷下的持久時間都明顯優于鎳基合金GH4033的,相應數據要高出1~10倍。其他低周疲勞性能,如恒應力控制的缺口試樣的低周疲勞也都顯示出明顯的優越性[2]。
在650℃、600MPa條件下測試GH2135合金和GH4033合金的周期持久性能,結果見表2t。由表2可見,GH2135合金的周期持久循環斷裂次數為GH4033合金的1.6~9.5倍,持久時間約為GH4033合金的2倍。在疲勞負荷下GH2135合金和GH4033合金的持久斷裂時間見表3t。由表3可見,在有交變應力作用的同樣試驗條件下,GH2135合金的持久斷裂時間為GH4033合金的2~5倍,純持久斷裂時間為GH4033合金的2倍。很顯然,GH2135合金的低周疲勞性能明顯優于GH4033合金的。


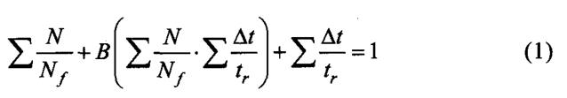
此外,還應著重強調,GH2135合金在渦輪盤工作的溫度和應力情況下,蠕變一疲勞交互作用系數B=0,而GH4033合金的則為4。蠕變一疲勞交互作用通常可表示為

交互作用系數B=0,說明蠕變損傷與疲勞損傷沒有交互作用,而B=4,說明兩者之間有明顯交互作用,使損傷更嚴重。盡管GH2135合金和GH4033合金處于同一條件,由于蠕變一低周疲勞交互作用而使GH4033合金的使用壽命顯著下降,其總周期數和總壽命都只有GH2135合金的40%[5]。這更加顯示了GH2135合金在低周疲勞方面的優越性。
1.3.2屈服強度隨溫度的反常變化
高溫合金的屈服強度一般隨溫度升高而不斷明顯降低,而GH2135合金的屈服強度隨溫度升高不但不降低,反而有所增加,直到750℃才開始緩慢降低。
這是GH2135合金力學性能的又一特點,結果如表4所列。因此,采用GH2135合金制作在750℃溫度以下使用的渦輪盤、導流盤和其他高溫零部件是非常有利的。此外,用GH2135合金制作熱作模具優越性更大。因為熱作模具,包括鍛錘砧子等,在工作過程中溫度愈來愈高,一般模具材料會因其屈服強度嚴重下降而出現凹陷;而GH2135合金與此相反,工作溫度越高,屈服強度反常增加,不會出現一般模具材料所產生的嚴重變形現象。

1.4合金的應用特點
由于GH2135合金的綜合性能良好,疲勞性能優異,特別適于制作航空發動機渦輪盤。20世紀70年代,曾大量制作WP.6和WP.6甲發動機一、二級渦輪盤,裝備1000多架殲擊機和強擊機在外場正式投入使用,其中還有300多架飛機援外[6]。在那個年代這是一種值得稱贊的奇跡。
GH2135合金是我國獨創的第一個渦輪盤鐵基高溫合金,它是我國自行研制的鐵基沉淀強化高溫合金中使用最早、使用量最大、使用品種最多、研究工作最深入的一種合金,在我國高溫合金的發展史上占有非常重要的一頁。它對推動我國高溫合金的發展,特別是鐵基高溫合金的發展起了不可磨滅的作用。它的研制成功為我國高溫合金人材培養也起了非常重要的作用。GH2135合金的研制于1978年獲得全國科學大會重大科研成果獎。
2、環形件用鐵基高溫合金GH2035A
WJ5系列航空發動機的渦輪內、外環等11種零件原采用GH1035鐵基合金,在合金生產過程中存在強度低、塑性差和鍛造裂紋多這3大技術難題,使成品率極低,造成重大浪費。本研究組通過成分調整、熱處理制度改進等研究工作,在GH1035合金成分基礎上開發出一種具有自主知識產權的專利合金GH2035A。該合金除保留原合金的優點外,其綜合性能大幅度提高,長期性能更加穩定,同時,生產工藝穩定,熱加工性能優異,成形性良好,可以生產鍛材、棒材、板材和管材等。幾年來,生產量已超過100t,成材率達80%以上,性能合格率達100%。
2.1合金的化學成分特點
GH2035A合金和GH1035合金的化學成分見表50由表5可見,GH2035A合金的化學成分有以下特點:A1和Ce在GH1035合金中是雜質元素,愈低愈好,一般都不有意加入,而在GH2035A合金中是作為合金元素必須加入的,而且Al還必須在成分范圍內才合格;GH2035A合金中加入了微量B元素,與GH1035合金不加B成為鮮明對照;GH2035A合金中確定了只加Ti而不加Nb,還允許加入微量Mg元素。

本研究組的研究結果為GH2035A的成分確定提供了充分而可靠的依據。
選用Fe.37Ni.22Cr-3W為基礎成分,用正交試驗設計方法系統地研究了Al、Ti、Nb、C、B和RE等元素對GH2035A合金的性能和組織的影響,其中對室溫拉伸性能和700℃、235]VIPa條件下持久性能的影響如圖1和圖2所示。有關分析結果表明:1)A1應作為合金元素加入。合金中加入0.25%A1,抗張強度和屈服強度可分別增加250和150lVIPa,而達到900和450MPa以上,伸長率和面縮率分別高于30%和50%,持久壽命由幾小時延長至150h,遠遠超過技術指標要求,而不加A1或其含量低于0.25%時,則合金性能達不到技術條件的要求;加A1不僅因為增加了γ'數量而顯著提高合金的瞬時強度和持久強度,而且使γ'相的組成由Ni3Ti轉變為Ni3(A1,Ti),大大提高了合金的穩定性;2)選用Ti而不用Nb作為強化元素。這是因為Ti的強化效果比Nb更顯著,當Nb含量較低時強化不明顯,要使強度達到技術條件要求,Nb含量必須高于1.2%,而Ti含量僅需0.8%,同時Nb在合金中的偏析程度高于Ti的,含1.6%Nb時,不僅形成大塊NbC,而且合金中還形成相;3)合金中加入微量B。合金中含0.005%B時,持久壽命即由不含B的130h提高到500h,B含量增加到0.01%時,壽命增加到700hl加B不僅使晶界M23C6相細塊化,且生成顆粒狀MB:相,明顯強化了晶界,持久斷裂由典型的沿晶型轉變為混合型,因此使合金的持久壽命和持久塑性大幅度提高;4)加入0.05%稀土元素,可獲得最佳拉伸性能和持久性能。采取上述4項改善措施后,GH2035A合金的高溫拉伸性能顯著提高,結果如圖3所示。由圖3可以看出,GH2035A合金與GH1035合金在900℃的拉伸性能比較時,兩者的抗拉強度和屈服強度相當,而前者的拉伸伸長率為101%,后者的為60%~65%。從圖3還可看出,溫度更高,GH2035A合金的高溫塑性更好。這說明GH2035A合金熱加工性能更好,不易出現鍛造裂紋。因此,GH2035A合金的綜合性能要明顯優于GH1035合金的,全部解決了GH1035合金存在的3大技術難題。1990年GH2035A合金獲得了中國發明專利證書(ZL90110284.9)[10]。



2.2在航空發動機上的應用
GH2035A合金制作的I級渦輪內環、外環、止動環、支承環和Ⅱ級分瓣渦輪外環等6種零件,從1987年開始,正式裝用于WJ5A1發動機,至1991年4月已出廠208臺,裝于運七飛機,在全國15個機場投入飛行。總飛行時間已超過20×10h,單臺最長飛行時間3099h,無任何故障。
此外,該合金還用于制作5種WJ5、WJ5A發動機零件和4種TB2.117A發動機零件投入使用。
GH2035A合金不僅解決了WJ5系列發動機急需的重要高溫材料,使該系列發動機的正常生產及WJ5AI發動機的延壽工作得以進行,而且它填補了我國高塑性鍛材的空白,具有優異的熱加工性能和抗氧化性能,在其它發動機和工業中也可推廣應用。“WJ5AI發動機用GH2035A合金”在1990年獲中國科學院科技進步獎一等獎,1991年獲國家科技進步獎三等獎。
3、渦輪葉片用DZ417G合金
定向凝固鎳基柱晶高溫合金DZ417G是我國先進的第三代航空發動機的低壓一、二級渦輪葉片材料,從1993年項目論證,1994年國家計委正式立項,至2005年年底通過技術鑒定,前后13年,本研究組進行了系統研究,全面完成了研制任務。DZ417G合金是在K417G合金基礎上研發成功的具有自主知識產權的專利合金[11]。與K417G合金相比,DZ417G合金具有獨到特點,主要創新點有以下方面。
3.1化學成分中不加Zr而控制P含量
3.1.1不加對熱裂有害的zr元素
表6所列為DZ417G合金和K417G合金的化學成分。從表6可見,DZ417G合金的化學成分最大特點是去掉了約0.7%Zr。本研究組的工作表明[12],去掉了
zr對DZ417G合金的室溫和900℃拉伸性能以及760℃和980℃持久性能沒有明顯影響。由于元素zr強烈偏析于晶界,使凝固溫度區間增大,促進晶界疏松形成,有利于縱向熱裂紋形成,因此去掉Zr元素可顯著抑制定向凝固過程中的熱裂傾向,相應地,定向凝固工藝制備渦輪葉片的合格率大為提高。

3.1.2利用P的有益作用
高溫合金,特別是鑄造高溫合金,通常都把P看作是有害雜質,希望P含量愈低愈好,中科院金屬研究所研制成功的低偏析高溫合金就是一個典型的實例。本研究組研究了P含量對DZ417G合金力學性能的影響。結果表明,P含量對DZ417G合金持久性能影響最明顯(見圖4)。P含量為0.003%~0.015%時,DZ417G合金持久時間達到峰值,相應持久塑性也很好。相關技術條件規定P含量≤0.005%,而根據幾十爐DZ417G母合金的統計結果,工業生產的母合金的P含量都在0.003%-0.005%范圍,因此,沒有必要把P含量降到0.0005%以下,控制P含量在一個合適的低水平范圍即可。

DZ417G合金的S和Fe等有害元素都較K417G合金的低,有利于提高力學性能。
3.2采用最佳熱處理制度 提高細小γ'相數量
通過系統研究,采用的最佳熱處理制度為(1220℃,2h,AC)+(980℃,16h,AC)。對于DZ417G合金,固溶處理溫度愈高,細小γ'相數量愈多,因而持久時問愈長,見圖5[11],但固溶處理溫度高達1240℃,明顯降低拉伸塑性,所以選定固溶處理溫度為1220℃。時效處理溫度選定為980℃,是因為該溫度時效處理持久時間最長,見表7[11],而K417合金則不需要熱處理,在鑄態下直接使用。


3.3采用定向凝固工藝制成定向柱晶組織改善力學性能
定向凝固柱晶高溫合金組織的最大特點是晶粒沿主應力方向呈柱狀晶排列,柱晶取向通常為<001>,并且消除了橫向晶界。工業生產中柱晶取向與主應力方向之間有一定偏差,通常控制在10~-15。以內。等軸晶高溫合金(包括變形和鑄造高溫合金)在高溫應力狀態,晶界成為薄弱環節,而那些與主應力軸垂直的橫向晶界,受到的正向拉應力最大,因而成為裂紋的形核與擴展的有利位置。定向凝固柱晶高溫合金消除了橫向晶界,對于合金力學性能的改善是十分有利的。DZ417G合金制成定向柱晶合金后力學性能明顯提高。
3.3.1蠕變斷裂性能的提高
DZ417G定向凝固柱晶高溫合金由于消除了薄弱的橫向晶界,只有平行于主應軸的縱向晶界,因而推遲了蠕變裂紋的形核與擴展,使蠕變斷裂時間(持久時間)明顯延長;同時,使第三階段蠕變應變明顯增加,因而使蠕變斷裂塑性(持久塑性)明顯改善。例如在900℃,300MPa條件下,定向柱晶合金的持久時間比同一成分的等軸晶合金的高出1倍,而其持久塑性則高出2倍,如表8所列[1]。

3.3.2抗冷熱疲勞性能的改善
對于定向凝固DZ417G合金,<001>取向的縱向彈性模量E值為134GPa,橫向彈性模量E值為155GPa,而同成分等軸晶合金為201GPa。在1000℃保溫100S,在25℃水中冷卻35S條件下,經338次循環后,DZ417G合金橫向試樣(其缺口方向為(001))和縱向試樣(缺口方向為非(001))的裂紋長度。結果表明,橫向試樣裂紋長度為1.0rain,而縱向試樣裂紋長度達3_3mnl。也就是說,橫向試樣的熱疲勞裂紋長度僅為縱向試樣的三分之一,具有最低彈性模量的(001)取向的橫向試樣的抗冷熱疲勞性能最好[1。這是因為冷熱疲勞性能的好壞取決于材料環境溫度變化△T的大小。而環境溫度的變化必然在材料內產生熱應力Act,A訶
以由下式估算:

式中:為線膨脹系數,E為彈性模量。可見在和△相同或相近的情況下,E值越小,其熱應力的變化Aa也越小,因而材料的冷熱疲勞壽命越長,抗冷熱疲勞性能越好。
定向凝固柱晶高溫合金,晶粒的(001)取向平行于主應力方向。而(ore>取向的彈性模量與其他方向比較是最低的,而且比等軸晶材料要低30%~35%,也就是在同樣熱循環中所承受的Aa也比等軸晶材料所承受的△低30%~35%,這樣就延長了熱疲勞壽命。
3.4DZ417G合金的特點與應用
DZ417G合金的特點如下。
1)DZ417G合金成分簡單,不含稀缺貴重金屬元素,因而該合金密度小、成本低。
2)DZ417G合金從室溫至高溫瞬時拉伸性能良好,無缺口敏感性,橫向性能優異,其中最突出的優點是室溫至高溫的拉伸塑性優異,且室溫沖擊韌性高。
DZ417G合金的拉伸性能明顯優于DZ404和DZ422合金的[15]。
3)DZ417G合金的持久強度滿足先進航空發動機的要求。DZ417G合金的持久強度與國外第二代柱晶合金DSCM247LC和國內DZ404合金處于同一水平,比強度與DZ422的相同,且持久塑性明顯高于DZ404合金的[15]。
4)DZ417G合金的室溫與高溫疲勞性能良好,與DZ422和DZ4125合金處于同一水平,但高于DZ404合金。DZ417G合金的冷熱疲勞性能優于DZ404合金的[15]。
5)高溫長期時效后,DZ417G合金的組織和力學性能穩定,合金中相質量分數保持在60%,力學性能滿足要求[15]。
6)DZ417G合金的高溫抗氧化性能滿足要求,抗熱腐蝕性優于DZ404合金的。
7)DZ417G合金綜合性能優異,已用作先進航空發動機低壓一、二級渦輪葉片等零件,投入批量生產[14]。
DZ417G合金及其它3種高溫合金以“先進發動機高低壓渦輪6種葉片用4種高溫合金及工藝研究”項目于2008年獲中華人民共和國工業和信息化部科學技術進步獎一等獎,并被推薦評審為國家科技進步一等獎。
4、過熱器管材用鐵基高溫合金GH2984
本研究組[16-17]于20世紀60年代末開始研制一種適合我國高參數艦船主鍋爐過熱器管長期使用的新型鐵基高溫合金GH2984。至20世紀70年代研制成功并生產用于新型主鍋爐過熱器管材,裝載艦船并經十年海上實際使用考核。全面檢查表明,GH2984合金管完好無損,還可繼續使用[16]。GH2984合金是過熱器管的主要用材,其主要性能與美國特殊金屬公司2003年正式公布的鎳基合金Inconel740合金處于同一水平,而價格要便宜得多,這也為我國高參數超超臨界機組早已作好了過熱器和再熱器材料的技術儲備。GH2984合金的主要特點有如下幾方面[16]。
4.1GH2984合金的化學成分特點
與國外類似高蒸汽參數過熱器管材合金比較,GH2984合金中不含Co,而Inconel740、Inconel617和Nimonic263等合金都含有12%~21%Co。而且GH2984合金含Fe達32%~34%,相應Ni含量減少,其他合金中Fe均為雜質元素,如表9所列。GH2984合金的成分特點將帶來十分可觀的經濟效益。

4.2GH2984合金優異的力學性能
GH2984合金的室溫至高溫拉伸強度以及650~750℃持久強度非常良好,其室溫和700℃拉伸強度明顯高于常用高性能管材合金Inconel625和Nimonic263的,如表10所列[1]。其持久強度高于Nimonic263合金的,與Inconel625合金的相近。其3萬小時和l0萬小時的持久強度在700℃時與Inconel740合金的處于同一水平,而其在650和750℃時的持久強度也基本與Inconel625和Nimonic263合金的處于同一水平,如圖6所示[13]。


4.3GH2984合金良好的耐蝕性
由于合金的cr含量達18%~20%,可以形成致密而牢固的Cr20為主的氧化膜,所以抗氧化性和抗熱腐蝕性良好。表11列出了GH2984合金經700~900℃氧化100h的氧化速率數據[1鍆。由表11可知,700℃的平均氧化速率僅為0.0058(m2·h),遠小于艦船對合金材料的氧化速率低于0.009~0.15g/(m2.h)的要求,明顯優于同類型鐵基合金GH2135和GH1140的氧化速率。

將3種合金置于25%NaCI+75%Na2SO4熔鹽強腐蝕介質中,經650~820℃保溫3h,測得熱腐蝕質量損失。結果表明(見表12),GH2984合金的腐蝕速率在750℃以下,與對比試樣GH1140和GH2135合金腐蝕速率基本相當,750℃以上GH2984合金的耐熱腐蝕性能最好。單管燃氣腐蝕用燃料為艦船燃氣輪機使用的輕柴油,鹽霧用配制的人造海水加入,為加速實驗進行,采用高鹽濃度(10),實驗溫度為900℃,時間為25h。實驗結果(見表12)表明,GH2984合金的抗熱腐蝕性能比GH2135合金的好,與GH1140合金的相當,遠遠優于鎳基鑄造高溫合金K403的,如表12所列[16]。

另外,GH2984合金的抗晶間腐蝕性能優異,在各種不同熱處理狀態或焊接后都不發生晶界腐蝕。
4.4GH2984合金穩定的顯微組織
研究結果表明,GH2984合金經700℃、(0.1~1.8)×10h長期時效后的組織和力學性能比較穩定,滿足大型艦船及超超臨界電站鍋爐長期使用的需要。
GH2984合金經標準熱處理后,奧氏體基體的晶粒度為4~6級,晶界析出相較少,γ'相呈球形,彌散均勻分布于y基體,γ'相直徑約23nlTl,數量為5.74%,
是合金的主要強化相。此外,還有少量MC相,包括NbC,Ti,C),它們是凝固結晶過程中析出的,分布于晶內和晶界,尺寸大小為1-10μm,在GH2984合金中的數量為0.52%。
GH2984合金經700℃不同時間長期時效后,y相顆粒半徑隨時效時間t1/3。呈直線增加,遵循一般顆粒長大速率的擴散控制粗化動力學規律,相的數量緩慢增加,到18×10h增加至7.23%(見表13)。相數量的增加補償了),相長大對合金強度的影響。γ'相成分的分析表明,長期時效過程中γ'相化學組成變化不大。
GH2984合金在700℃長期時效過程中,NbC和Ti(CN)等碳化物的數量略有增加(見表13)[17],由標準熱處理狀態的0.52%增加至18×10h的0.66%,且化
學成分基本不變,只是在18×10h時效后,碳化物中有少量Cr出現,顯然是M23C6在晶界沉淀增多的結果。電鏡觀察表明,晶界上析出一些塊狀MC和相,前者可阻止晶界滑動,有利于持久強度的提高,后者由于數量少,且以塊狀或顆粒狀占絕對優勢,對力學性能影響很小。

4.5GH2984合金的成形工藝性能
GH2984合金的冷熱壓力加工性能好,特別是管材成形性能優異。由900~1300℃的高溫沖擊、高溫拉伸、高溫墩粗和高溫扭轉及晶粒長大傾向性的系統試驗表明,GH2984合金高溫塑性良好,變形抗力低,熱加工溫度范圍寬,晶粒長大傾向性小[18]。
GH2984合金熱穿管坯料的加熱溫度為1100℃,穿管時溫度升高達1160~1180℃,穿出的荒管質量較好,成品率較高。各種工藝參數控制得當時,穿管成品率可達100%,GH2984合金冷軋冷拔工藝性能與1Cr18Ni9Ti合金的相似,無論是采用單一的冷軋或冷拔工藝,還是采用冷軋與冷拔聯合工藝,進行冷變形時均可獲得表面質量和尺寸公差符合要求(YB804—20)的標準鋼管。
GH2984合金管的擴口性能良好,在不同熱處理制度下均能很好地擴口,擴口率達38%。同時,管子壓扁性能也很好,管壁間距達壁厚的3~4倍,也無任何問題。彎管實驗在彎管機上進行,彎管半徑為65mm,彎管角度為180。,彎管性能良好,表面光滑無裂紋。
GH2984合金管的脹管性能極好,特別適于艦船用脹接式過熱器的制作。脹管實驗結果見表14[16],脹管后經400、600、1000和1200N/cm水壓打壓后,滴水不漏,表明脹管性能優異,在艦船上實際安裝工藝性能試驗證明,GH2984合金管與15CrMo合金管脹接時,脹管率在1.4%-4.4%之間,GH2984合金管沒有發生起皮和裂紋等問題,滿足冷態下的脹接與超壓試壓需要,完全符合鍋爐冷態安裝技術要求,也能滿足超級超臨界電站鍋爐過熱器制造需要。

4.6GH2984合金的應用
GH2984合金力學性能和化學性能優異,工藝性能良好,長期組織和力學性能穩定,是一種成本低廉的過熱器管材用鐵基高溫合金,適于制作艦船用鍋爐過熱器,也可制作超級超臨界電站鍋爐用過熱器和再熱器。1992年“GH2984艦船用鍋爐過熱器高溫管材合金”獲中國科學院科技進步獎一等獎。
5、艦用燃氣輪機渦輪葉片和導向葉片用5種抗熱腐蝕高溫合金
2001年,本研究組承擔了一種先進艦用燃氣輪機全部渦輪葉片和導向葉片用5種抗熱腐蝕高溫合金K444、K435、K452、K446和GH4413的研制。通過相計算和熱腐蝕微觀機制等基礎研究,確定了合金的最佳成分控制范圍,通過控制固溶處理冷卻速率,調整主要強化相y相的尺寸和晶界碳化物的形態,解決了上述高cr、W、Mo含量合金的室溫和中溫低塑性的技術難題。鑄造鎳基合金K444為1~2級渦輪葉片材料,屬于BC合金。鑄造鎳基合金K435為3,-4級渦輪葉片材料。變形鎳基高溫合金GH4413為5-6級渦輪葉片材料。鑄造鎳基高溫合金K452為1-6級導向葉片材料。鑄造鎳基合金K446是燃氣輪機整流支柱用材料。所有這5種合金均屬抗熱腐蝕高溫合金,2005年通過了技術鑒定。目前已批量提供母合金及熱軋棒材,制備出全部6級渦輪葉片和導向葉片以及整流支柱零件,并已通過850h長期試車考核。
2003年,K444合金還被選作R0110重型燃機1~4級渦輪葉片材料,K452合金還被選作這種重型燃氣輪機1~4級導向葉片材料,K446合金同樣被選作這種重型燃氣輪機的整流支柱材料。今年將生產兩臺R0110重型燃機正式用于發電生產。與航空發動機用高溫合金一樣,抗熱腐蝕高溫合金要求具有良好的力學性能和化學性能,此外,還特別要求抗熱腐蝕性能優異,長期組織和力學性能的穩定性特別好。本研究組研制的5種抗熱腐蝕高溫合金的主要化學成分見表15[19]。由表15可見,本研究組研制的5種抗熱腐蝕高溫合金與西方國家同類合金比較,不含Ta是最大的特點。因此,這些合金的成本比含鉭合金的要低得多。例如,合金中如含2%Ta,那么成本將增加12~20萬元/t,顯然不含Ta的抗熱腐蝕合金所帶來的經濟效益是十分可觀的。5種抗熱腐蝕高溫合金雜質元素的含量控制到了國內所有高溫合金的最低水平,達到國際先進水平,而有益微量元素的加入種類和數量有創新,是化學成分中的最大特點。

5.1合金的優異抗熱腐蝕性能
抗熱腐蝕高溫合金性能的最大特點是抗熱腐蝕性能優異。本研究組研制的鎳基合金K435、K452和K444合金的抗熱腐蝕性能都優于K438合金的(見表16)。表16[19]表明:K435、K444和K452合金的抗熱腐蝕性能都明顯優于K438合金的,而K438合金即IN738合金是西方的王牌抗熱腐蝕高溫合金。K435、K444與K438合金的Cr含量基本相同,但前兩合金fW+Mo)含量為7.2%,W/Mo比為2.75,較K438合金相應的4.4%和1.44要高得多,同時,前兩合金(Al+Ti)
含量為7.4%,相數量約為50%,Ti/A1為1.64,而K438合金的相應值為6.8%,47%—49%和0.94。在γ'相數量相近的情況下,W/Mo比和Ti/A1比高對抗熱腐蝕性能有益。而K452合金與K438合金比較,最突出的特點是Cr含量更高,為21%,高于K438合金的16%,同時W/Mo比與Ti/A1比都比較高,K452合金顯示出更優異的抗熱腐蝕性能[19]。
抗熱腐蝕鎳基變形高溫合金GH4413的Cr含量在15%左右,較航空發動機常用變形合金渦輪葉片材料GH4049的cr含量(10%左右)提高約5%,而且),相含量僅為29%,較GH4049合金的36%要低7%,同時,W/Mo比也較高。所以,GH4413合金的抗熱腐蝕性能在850℃時較GH4049合金的要好(見表17)[14]。前者用作艦用燃氣輪機的5~6級渦輪葉片,而后者大多用作航空發動機1級渦輪葉片。

5.2合金的穩定力學性能
抗熱腐蝕高溫合金性能的另一特點是高溫長期暴露力學性能穩定。抗熱腐蝕高溫合金由于在高溫長期時效或長期使用過程中組織穩定,通常僅有γ'相的緩慢長大和數量增加以及碳化物少量變化,沒有TCP相的大量析出,因而力學性能不出現急劇降低的情況。圖7[20-21]所示為K435、K452、K444和GH4413合金在其使用溫度進行長達10000h的持久試驗結果。由圖7可知,除K444合金外,其它3個合金持久曲線沒有拐點,證明持久性能穩定。K444合金屬電子空穴數臨界值邊緣合金,由于在持久試驗過程組織中形成相,900℃曲線出現拐點,但在化學成分范圍內嚴格控制元素含量,可以避免盯相析出。圖8[22]表明,導向葉片用抗熱腐蝕鑄造鎳基高溫合金K452經800~900℃時效10000h后,900℃抗拉強度、屈服強度和塑性變化不大。


5.3抗熱腐蝕高溫合金的應用
采用本研究組研制的5種抗熱腐蝕高溫合金制造的零部件己裝備在一種先進艦用燃氣輪機上,并通過了850h長期試車考核和技術評審,可進行批量生產。
這種發動機還可用作天然氣輸送管線的加壓系統,或用于民用發電。采用K444和K452合金制成的R0110燃氣輪機渦輪葉片和導向葉片也已通過試車考核,即將用于民用發電。
6、結論
1)GH2135合金具有良好的低周疲勞性能以及屈服強度隨溫度的反常行為,特別適于制造航空發動機渦輪盤,是我國獨創的第一個渦輪盤鐵基高溫合金。
2)GH2035A合金具有良好的拉伸和持久性能,特別是高溫塑性和熱加工性能優異,適于制造航空發動機渦輪環形件,是一種具有自主知識產權的專利合金。
3)DZ417G合金具有強度高、塑性好、組織穩定、密度低等特點,特別適于制作先進航空發動機的渦輪葉片和導向葉片,也是一種具有自主知識產權的專利合金。
41GH2984合金具有長達100000h的良好持久性能和耐蝕性能,以及優異的冷、熱加工性能,而且成本低廉,適于制作艦船和高參數超超臨界鍋爐用過熱器和再熱器管材,是我國具有自主知識產權的鐵一鎳基高溫合金。
5)K444、K435、K452、K446和GH4413等5種抗熱腐蝕高溫合金的最大特點是抗熱腐蝕性能優異,長期組織和力學性能穩定性良好,適于制作艦船和工業燃氣輪機用渦輪葉片、導向葉片和整流支柱等高溫結構件。這5種合金在微量元素的種類和數量控制上有創新,具有自主知識產權。
REFERENCES
[1]郭建亭.高溫合金材料學(上冊)[M].北京:科學出版社,2008.
GUOJian—ting.Materialsscienceandengineeringforsuperalloys(I)[M】.Beijing:SciencePress,2008.
[2]師昌緒,肖躍天,郭建亭,張順南.GH2135鐵基高溫合金匯編[M】.沈陽:中國科學院金屬研究所,1974.
SHIChang—XU,XIAOYao—tian,GUOJian-ting,ZHANGShun-nan.Iron-basesuperalloyGH2135[M].Shenyang:Institute
ofMetalResearch,ChineseAcademyofSciences,1974.
[3]郭建亭,師昌緒.鋁和鈦對一種35鎳15鉻型鐵基高溫合金組織結構和力學性能的影響[J].金屬學報,1978,14(3):227—238
GUOJian-ring.SHIChang—XU.Theefectofaluminiumandtitaniumonthemicrostructureandpropertiesofairon-basealloy[J].ActaMetallugicaSinica,1978,14(3):227—238.
[4]《中國航空材料手冊》編委會編.中國航空材料手冊(第2卷)[M].第2版.北京:中國標準出版社,2002.
ChineseHandbookofAeronauticalMaterials(Volume2)[M】.2nded.Beijing:ChineseSpecificationPress,2002.
[5]中國科學院金屬研究所強度組.渦輪盤合金的蠕變一低周疲勞復合試驗及壽命估算[J].機械工程材料,1979(2):1-8.
StrengthGroup,InstituteofMetalResearch,CAS.Interactionofcreep—lowcyclefatigueandpredictionoflifeofdiscalloys[J].
MaterialsforMechanicalEngineering.1979(2):l一8.
[6]郭建亭.GH2135合金渦輪盤在航空發動機上大量使用[J].金屬學報,1995,31(增刊):S126一S129.
GUOJian-ting.LargescaleemploymentofGH2135alloyturbinediscsinaeroengines[J].ActaMetallurgicaSinica,1995,31(Supple):S126一S129.
[7]郭守仁,盧德忠,郭建亭,徐巖,吳晰,馬明喜.GH35A變形高溫合金的研制[J].金屬學報,1995,31(增刊):
Sl3Sl36.GUOShou-ren,LUDe-zhong,GUOJian-ting,XUYah,WUXi,MAMing-xi.WroughtsuperalloyGH35A[J].ActaMetallurgica
Sinica,1995,3l(Supple):S130一S136.
[8]郭守仁,盧德忠,郭建亭,吳晰.微量元素對GH35合金力學性能的影響[c】,/徐志超,馬培立.高溫合金中微量元素的控制與作用.北京:冶金工業出版社,1987:431-437.
GUOShou-ren,LUDe-zhong,GUOJian-ting,WUXi.TheefectofminorelementsonthemechenicalpropertiesofsuperalloyGH35[C]//XUZhi—chao,MAPei—li.TheEfectsandControlsofMinorElementsinSuperalloys.Beijing:MetallurgicalIndustryPress,1987:431—437.
[9]盧德忠,郭守仁,郭建亭,吳晰.鋁、鈦和鈮對GH35A合金力學性能和組織結構的影響[J].材料工程,1992(7/9):127-128.
LUDe—zhong,GUOSho·ren,GUOJian-ting,WUXi.TheefectOfA1.TiandNbontheMicrostructuresandmechanical
propertiesofGH35Aalloy[J].JournalofMaterialEngineering,1992(7/9):127—128.
[10]郭守仁,蘆德思,吳晰,郭建亭.一種鐵鎳鉻基變形高溫合金:中國專利ZL90110284.9[P].1993—10—10.
GUOShu-ren,LUDe-zhong,WUXin,GUOJian-ting.Aniron-nickel-basewroughtsuperalloy:CNZL90110284.9[P].1993-10—10.
[11]郭建亭,王淑荷,李英敖,張志亞,李輝,殷為民.一種定向凝固優質鑄造鎳基高溫合金:中國專利ZL95110023.8[P].
2000-04-28.GUOJian-ring,WANGShu-he,LIYing—ao,ZHANGZhi-ya,LIHni,YINWei-min.Adfectionallysolidifiedcastnickel—basesuperalloy:CNZL95110023.8[P].2000—04—28.
[12]郭建亭.先進發動機低壓一、二級渦輪葉片用DZ417G鎳基合金和工藝的研究[R].沈陽:中國科學院金屬研究所,2000.
GUOJian-ting.Theinvestigationofnickel-basealloyDZ417Ganditstechnologyusedaslowpress1,2gradesturbinebladesin
anadvancedengine[R].Shenyang:InstituteofMetalResearch,CAS,2000.
[13]殷為民,郭建亭,王淑荷.固溶處理溫度對定向凝固高溫合金DZ417G的組織和性能的影響[J].金屬學報,1995,31(增刊):S312—315.
YINWei-min,GUOJian-ting,WANGShu-he.Efectofsolidsolutiontreatmenttemperatureonmicrostructureandmechanial
propertiesindireetionallysolidifiedDZ417G[J].ActaMetallurglcaSinica,1995,3l(Supple):S312—315.
[14]郭建亭.高溫合金材料學(下冊)[M】.北京:科學出版社,2010.
GUOJian-ting.Materialsscienceandengineeringforsuperalloys(III)[M】.Beijing:SciencePress,2010·
[15]郭建亭.一種性能優異的低成本定向凝固高溫合金DZ417G[J].金屬學報,2002,1l(11):1163—1174.
GUOJian-ring.Adirectionallysolidifiednickel—basesuperalloyDZ417Gwithexcellentpropertiesandlowcost[J].ActaMetallurgicaSinica,2005,14(I1):1221—1227.
[16]郭建亭,杜秀魁.一種性能優異的過熱器管材用高溫合金GH2984[J].金屬學報,2005,14(11):1221—1227.
GUOJian-ting,DUXiu—kui.AsuperheatertubesuperalloyGH2984withexcellentproperties[J].ActaMetallurgicaSinica,2005,14(11):1221—1227.
[17]王淑荷,杜秀魁,許惠珍,于長生,郭建亭,胡秋文.GH2984高溫合金管材合金的組織與性能[J】.金屬學報,1995,31(增刊1:$137-$140.
WANGShu-he,DUXiu-kui.XUHui-zhen,YUChang—sheng,GUOJian—ting,HUQiu—wen.Mechanicalpropertiesand
microstructureofatubesuperalloyGH2984[J].ActaMetallurgica,1995,31(Supple):S137一S140.
[18]中國科學院金屬研究所,冶金工業部上海第五鋼鐵廠,造船總公司七院703所.GH2984合金研制總結[R].沈陽:中國科學院金屬研究所,1991.
InstituteofMetalResearch,CAS,ShanghaiNo.5SteelPlant,Harbin703Institute.TheinvestigationofGH2984superalloy[R].Shenyang:InstituteofMetalResearch,CAS,1991.
[19] 郭建亭.抗熱腐蝕高溫合金的研究與發展[C]//王靜康.現代化工、冶金與材料技術前沿,中國工程院化工、冶金與材料工程學部第七屆學術會議論文集.北京:化學工業出版社,2009:1458-1465.
GUOJian-ting.Investigationanddevelopmentofhotcorrosionresistancesuperalloys[C]//WANGJing—kang.FrontiersofModemChemicalEngineering,Metallurgy,andMaterialTechnologies.Beijing:ChemicalIndustryPress,2009:1458-1465.
[20]袁超,李谷松,郭建亭.艦用燃氣輪機用K452合金研究報告[R].沈陽:中國科學院金屬研究所,2004.
YUANChao,LIGu-song,GUOJian-ting.InvestigationofK452alloyusedingasturbinesforships[R].Shenyang:InstituteofM
etalResearch,CAS,2004.
[21]郭建亭,周蘭章,袁超.八種高溫合金的全面性能數據[R].沈陽:中國科學院金屬研究所,2010.
GUOJian-ting,ZHOULan—zhang,YUANChao.Comprehensivepropertydataofeightsuperalloys[R].Shenyang:InstituteofMetalResearch,CAS,2010.
[22]QrNXZ,GUOJYUANC,CHENCL,YEHQ.Efectoflong—termthermalexposureonthemicrostractureandpropertiesofcaseNi-basesuperalloy[J].MetallMaterTransA,2007,38:3014-3022.
相關鏈接